中文无码

股票代码:831186

Tel :0756-8899253

Ceftriaxone Sodium for Injection
Ceftriaxone Sodium for Injection
I want to join

1. Product Name: Ceftriaxone for Injection

2. Name and Strength of Active Ingredient (s): 1.0 g (calculated on C18H18N8O7S3)

3. Product Description

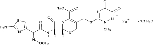
Ceftriaxone for Injection is a sterile, semisynthetic, broad-spectrum cephalosporin antibiotic for intravenous or intramuscular administration. Ceftriaxone sodium is (6R,7R)-7-[2-(2-Amino-4-thiazolyl)glyoxylamido]-8-oxo-3-[[(1,2,5,6-tetrahydro-2-methyl-5,6-dioxo-as-triazin-3-yl)thio]methyl]-5-thia-1-azabicyclo[4.2.0]oct-2-ene-2-carboxylic acid, 72-(Z)-(O-methyloxime), disodium salt, sesquaterhydrate.

The chemical formula of ceftriaxone sodium is C18H16N8Na2O7S3·3.5H2O. It has a calculated molecular weight of 661.60 and the following structural formula:

  

 

Ceftriaxone for Injection is an almost white to yellowish crystalline powder which is slightly hygroscopic, very soluble in water, sparingly soluble in methanol and very slightly soluble in ethanol. The pH of a 5% aqueous solution is approximately 6 to 8. The colour of ceftriaxone sodium solutions ranges from light yellow to amber, depending on the length of storage, concentration and diluent used. Ceftriaxone sodium contains approximately 83mg (3.6mEq) of sodium per g of ceftriaxone activity. Ceftriaxone Sandoz powder for injection contains ceftriaxone sodium as a single ingredient.

 

4. Indications

Treatment of the following infections when caused by susceptible aerobic organisms.

Lower respiratory tract infections. Caused by Strep. pneumoniae, Streptococcus sp. (excluding Enterococci), methicillin sensitive Staph. aureus, H. influenzae, H. parainfluenzae, Klebsiella sp. (including K. pneumoniae), E. coli, E. aerogenes, P. mirabilis and Serratia marcescens.

Skin and skin structure infections. Caused by methicillin sensitive Staph. aureus, methicillin sensitive Staph. epidermidis, Streptococcus group B, Streptococcus group G, Strep. pyogenes, Strep. viridans, Streptococcus sp. (excluding Enterococci), Peptostreptococcus sp., E. coli, E. cloacae, Klebsiella sp. (including K. pneumoniae and K. oxytoca), P. mirabilis, M. morganii and S. marcescens.

Urinary tract infections (complicated and uncomplicated). Caused by E. coli, P. mirabilis, P. vulgaris, M. morganii and Klebsiella sp. (including K. pneumoniae).

Uncomplicated gonorrhoea (cervical/ urethral and rectal). Caused by N. gonorrhoeae, including both pencillinase and nonpenicillinase producing strains.

Bacterial septicaemia. Caused by Strep. pneumoniae, E. coli and H. influenzae.

Bone infections. Caused by methicillin sensitive Staph. aureus, methicillin sensitive Staph. epidermidis, Streptococcus group B, Strep. pneumoniae, Streptococcus sp. (excluding Enterococci), E.coli, Enterobacter sp., P. mirabilis and K. pneumoniae.

Joint infections. Caused by methicillin sensitive Staph. aureus, Strep. pneumoniae, Streptococcus sp. (excluding Enterococci), E. coli, P. mirabilis, K. pneumoniae and Enterobacter sp.

Meningitis. The initial treatment, as a single agent, of meningitis in children and immunocompetent adults when presumed or proven to be caused by H. influenzae type b, N. meningitidis, Strep. pneumoniae or Enterobacteriaceae pending culture and sensitivity results.

Surgical prophylaxis. The preoperative administration of a single 1g dose of ceftriaxone may reduce the incidence of postoperative infections in patients undergoing vaginal or abdominal hysterectomy or cholecystectomy in high risk patients, surgical procedures which are classified as contaminated or potentially contaminated, and patients undergoing coronary artery bypass surgery. Although ceftriaxone has been shown to have been as effective as cefazolin in the prevention of infection following coronary artery bypass surgery, no placebo controlled trials have been conducted.

Susceptibility testing. Before instituting treatment with ceftriaxone, appropriate specimens should be obtained for isolation of the causative organism and for determination of its susceptibility to the drug. Therapy may be instituted prior to obtaining results of susceptibility testing. 

6. Recommended Dose

The recommended adult daily dose is 1 to 2g given once a day or in equally divided doses twice a day, depending on the type and severity of the infection. The lower dose would be appropriate for less severe infections.

For the treatment of uncomplicated gonococcal infections, a single intramuscular dose of 250mg is recommended.

For preoperative use (surgical prophylaxis) in cardiovascular surgery, biliary tract surgery in high risk patients and in vaginal and abdominal hysterectomy, a single dose of 1g administered 30 minutes to 2 hours before surgery is recommended.

For the treatment of serious miscellaneous infections in children, the recommended total daily dose is 50 to 75mg/kg (not to exceed 2g), given once per day or in divided doses every twelve hours. In meningitis the dose should be divided and administered every twelve hours.

Generally, ceftriaxone therapy should be continued for at least two days after the signs and symptoms of infection have disappeared. The usual duration is 4 to 14 days. In special conditions (e.g. endocarditis, osteomyelitis, infected joints) treatment may be continued for a longer duration. Prolonged therapy results in a higher incidence of adverse effects, particularly diarrhoea, rash, eosinophilia, elevated liver enzymes and, to a lesser extent, neutropenia.

Each gram of ceftriaxone contains 3.6x mmol sodium. To be taken into consideration in patients on a controlled diet.

When treating infections caused by Streptococcus pyogenes, therapy should be continued for at least ten days.

No dosage adjustment is necessary for patients with impairment of hepatic function; however, blood levels should be monitored in patients with severe renal impairment (e.g. dialysis patients) and in patients with both renal and hepatic dysfunction. Serum levels should not exceed 280microgram/mL.